
名稱: 小面積LED太陽光模擬器
型號: LEDSS-4
品牌: 努美科技
通過單擊按鈕**復制地面或外星太陽光譜
小面積LED太陽光模擬器,以提供真正可控的照明,包括軟件控制的光譜,可追溯的校準??梢缘玫?AM1.5G、AM0-AM40以及地理、季節或時間特定的光譜。

應用
● 航空 航天地面測試
● 汽車
● 生物
● 護膚品、化妝品
● 防曬霜研發
● 環境科學
● 材料降解光化學催化
● 光伏(PV)生產和測試
● 太陽能電池
● 塑料、油漆、清漆、清漆和其他涂料
● 質量**
● 紡織業
● 光致變色實驗室
● 耐候性測試
● 光生物檢測
AAA 級發光二極管太陽光模擬器
提供**的太陽光譜,在照明區域內時間穩定且均勻,占地面積小,可集成到您現有的基礎設施中。

A 類光譜匹配

AM1.5G 頻譜匹配比 ASTM E927-19 要求高出5倍??勺児庾V可用于單波長調節,控制多個波長通道,并實現自動化??筛鶕筇峁?AM0 和自定義光譜。
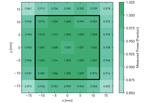
A類空間均勻性
單太陽等效輻照面積,實現空間非均勻性<2%。
A 類時間穩定性

短期時間不穩定性 (STI) <0.1%,1 Hz 采樣時間超過 100 秒,超過 A 類要求。

**時間不穩定性(LTI)<2%,以1個樣品/天持續 3,000小時,符合A類要求。
旨在與您的研究需求一起成長。因為你的研究很重要。
您的研究正在改變世界,您無法承受給出不**結果的不**光線。
這是一款研究級儀器,適用于測試任何光敏(光敏)材料或工藝,包括太陽能電池、防曬霜、塑料、光致變色器件、光化學過程、環境退化、航空航天材料等。

利用可升級的LED太陽光模擬器的強大功能
您的研究正在將該領域提升到一個新的水平。您的太陽能模擬器應該能夠做同樣的事情。
可變光譜
每個都帶有可變光譜模塊,該模塊使用軟件控制的強度操縱解鎖完整的光譜控制。
也稱為可調,動態和可編程光譜,可以控制多個LED通道,以復制幾乎任何太陽條件。
一鍵式季節軟件模塊
用戶能夠根據地理位置、季節和一天中的時間復制輻照度和光譜。我們的軟件設計簡單、**且易于配置。
IV測試
用于PV PCE測量的集成數據采集硬件和軟件,IV模塊將測量太陽能電池的性能。
通過電流-電壓(IV)測試為您的研究單元獲得快速**的測量結果,并享受集成了所有必要分析和設備的系統的易用性。
EQE 測試
用于EQE 測量的集成數據采集硬件和軟件
EQE 模塊提供光伏設備在活動條件下的外部量子效率 (EQE) 的波長分辨測量值。
滿足各種研究需求的小面積LED太陽光模擬器
等級 | 優于AAA | AAA |
執行標準 | ASTM E927、IEC 60904-9、JIS C8912 | |
光譜范圍 | 300nm - 1200nm | 300nm - 1700nm |
光斑 | 5cm x 5cm/或定制尺寸 | 5cm x 5cm/或定制尺寸 |
光強 | 1.1suns | 1.1suns |

一般規格
● 技術:連續波(CW)固態發光二極管(LED)
● 輸入電壓:85伏交流電– 264伏交流電,47赫茲– 63赫茲
● 使用功率:< 220 W
● 輸入/輸出端口:USB-A母頭端口、硬盤管理